流量儀表系列
- 液體流量計
- 空氣流量計
- 蒸汽流量計
- 孔板流量計
- V錐流量計
- 一體化孔板流量計
- 電磁流量計
- 渦街流量計
- 彎管流量計
- 金屬管浮子流量計
- 超聲波流量計
- 阿牛巴流量計
- 威力巴流量計
- 旋進旋渦流量計
- 渦輪流量計
- 玻璃轉子流量計
- 橢圓齒輪流量計
- 平衡流量計
- 楔形流量計
- 靶式流量計
- 熱式氣體質量流量計
- 旋翼式流量計
- 噴嘴氣體流量計
- 噴嘴流量計
- 三閥組
液位儀表系列
江蘇恒大儀表有限公司
聯系人:楊經理
手機:13915187193
電話:0517-86500226
傳真:0517-86800636
郵箱:jshdyb@163.com
地址:江蘇省金湖縣工業園區
孔板流量計工作原理及誤差補償方法
日期:2022-10-17 點擊量:
1.孔板流量計的工作原理
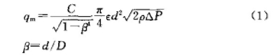
孔板流量計采用差壓式測量方法對流量進行測量,即在管道內裝入節流元件一孔板。當水蒸氣流過孔板時,流體速度增大,壓力減小,于是在孔板的前后產生差壓,利用具有-定設計尺寸的孔板測量水蒸氣流量,在保證孔板前后有足夠的直管段等條件下,孔板前后的差壓將隨流量的變化而變化,且兩者具有確定的關系,因此可以通過測量差壓得到水蒸氣的流量「。根據國標GB/T26241993,對于標準節流裝置,差壓△P與流量qm的函數關系為:
式中:qm為質量流量,kg/s;C為流出系數;D為管道內徑,m;ε為節流件正端取壓口平面上的氣體膨脹系數;d為工作條件下節流件的開孔直徑,m;ρ為節流件人口端流體密度,kg/m³.
2.流出系數C的補償
流出系數C是表征孔板節流裝置特性的主要參數,是雷諾數Re和β的函數,它是一個隨流量變化的量,其值隨Re的增大而減小,當Re大于一定值趨向無窮大時,C趨向于常數Ck,而孔徑比β越大,C的變化幅度也越大,使C趨向于常數Ck的Re也越大,C與β和Re之間的定量關系為:
對于給定的標準孔板,當β為常數時,C僅是Re的函數C=f(Re)。在公式(1)中,將C用公式(2)而不是一個常數來代替,可提高計量的精度。
3.水蒸氣膨脹系數ε的補償
差壓式流量計在用來測氣體和蒸氣流量時,流體流過節流裝置在節流件兩邊都要產生--定的差壓,在節流件的下游靜壓降低,將出現流束膨脹,流束的這種膨脹使得節流裝置的輸出(差壓)一輸人(流量)關系同不可壓縮流體之間的偏差。如果不對這種偏差進行校正,將會導致流量示值偏高千分之幾到百分之幾,尤其是流量在較大范圍內變化時,產生的誤差會更大,因此更有必要對其進行修正。
4.孔板流計變更量t程后的修正
盡管改變差壓變送器的差壓范圍是非常容易的事,但不能只對差壓范圍做調整就萬事大吉。這是因為孔板流量計量程變更后,管道中的常用流速等參數將發生變化,流出系數也相應有所變化,因此需從已知節流裝置數據(從節流裝置計算書查得)和其他有關流量數據(如:變更后的流量上限及常用流量)計算出新的差壓上限。實踐證明,若量程縮小后,C和ε均增大,相應的質量流量會偏大。
5.密度ρ的補償
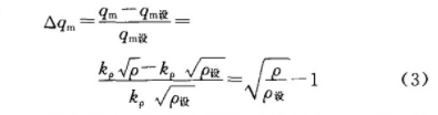
在其他參數不變的情況下,qm與ρ之間的關系為:qm≈k,√ρ。可以看出,水蒸氣的流量與其密度的平方根成正比關系。水蒸氣是可壓縮性氣體,當其壓力、溫度變化時,其密度將發生明顯變化,這將引起流量很大的誤差。實際流體狀態(壓力、溫度)與流量計設計時的狀態(壓力、溫度)偏離造成的相對誤差可由公式(3)表示:
假如設計孔板流量計時是按照1MPa和285℃所對應的過熱水蒸氣密度ρ=4.374kg/m³設計的,則密度的變化造成的測量誤差可能很大,當壓力大且溫度低時,測量值偏大;當壓力低且溫度高時,測量值偏小。水蒸氣的實際狀態偏離孔板實際狀態越嚴重,所引起的誤差越大。要補償密度變化所引起的這種誤差,就不能將公式(1)中的ρ以設計工況下的密度來代入,需要將ρ看作壓力和溫度的函數,即ρ=f(P,t)。這也就是一般智能流量積算儀均要對過熱蒸汽進行壓力溫度補償的原因。
6.孔板內徑d和管徑D的誤差補償
測量水蒸氣流量時,如果設計工況為200℃,孔板內徑為d,則孔板內徑在實際工作狀態下的修正公式為:
實際上d和D偏離設計值造成的后果就是流量測量系統的滿度值發生了變化,如果將d和D的實際值測量出來,代人公式計算出與此實際值相對應的流量滿度值,然后用新的滿度值代替原設計值,置人流量顯示儀表,則系統運行后,尺寸誤差對測量系統的影響就能得到完全的校正,這也就是每臺流量計在投人使用前進行修正計算的主要工作。
孔板流量計采用差壓式測量方法對流量進行測量,即在管道內裝入節流元件一孔板。當水蒸氣流過孔板時,流體速度增大,壓力減小,于是在孔板的前后產生差壓,利用具有-定設計尺寸的孔板測量水蒸氣流量,在保證孔板前后有足夠的直管段等條件下,孔板前后的差壓將隨流量的變化而變化,且兩者具有確定的關系,因此可以通過測量差壓得到水蒸氣的流量「。根據國標GB/T26241993,對于標準節流裝置,差壓△P與流量qm的函數關系為:
式中:qm為質量流量,kg/s;C為流出系數;D為管道內徑,m;ε為節流件正端取壓口平面上的氣體膨脹系數;d為工作條件下節流件的開孔直徑,m;ρ為節流件人口端流體密度,kg/m³.
2.流出系數C的補償
流出系數C是表征孔板節流裝置特性的主要參數,是雷諾數Re和β的函數,它是一個隨流量變化的量,其值隨Re的增大而減小,當Re大于一定值趨向無窮大時,C趨向于常數Ck,而孔徑比β越大,C的變化幅度也越大,使C趨向于常數Ck的Re也越大,C與β和Re之間的定量關系為:
對于給定的標準孔板,當β為常數時,C僅是Re的函數C=f(Re)。在公式(1)中,將C用公式(2)而不是一個常數來代替,可提高計量的精度。
3.水蒸氣膨脹系數ε的補償
差壓式流量計在用來測氣體和蒸氣流量時,流體流過節流裝置在節流件兩邊都要產生--定的差壓,在節流件的下游靜壓降低,將出現流束膨脹,流束的這種膨脹使得節流裝置的輸出(差壓)一輸人(流量)關系同不可壓縮流體之間的偏差。如果不對這種偏差進行校正,將會導致流量示值偏高千分之幾到百分之幾,尤其是流量在較大范圍內變化時,產生的誤差會更大,因此更有必要對其進行修正。
4.孔板流計變更量t程后的修正
盡管改變差壓變送器的差壓范圍是非常容易的事,但不能只對差壓范圍做調整就萬事大吉。這是因為孔板流量計量程變更后,管道中的常用流速等參數將發生變化,流出系數也相應有所變化,因此需從已知節流裝置數據(從節流裝置計算書查得)和其他有關流量數據(如:變更后的流量上限及常用流量)計算出新的差壓上限。實踐證明,若量程縮小后,C和ε均增大,相應的質量流量會偏大。
5.密度ρ的補償
在其他參數不變的情況下,qm與ρ之間的關系為:qm≈k,√ρ。可以看出,水蒸氣的流量與其密度的平方根成正比關系。水蒸氣是可壓縮性氣體,當其壓力、溫度變化時,其密度將發生明顯變化,這將引起流量很大的誤差。實際流體狀態(壓力、溫度)與流量計設計時的狀態(壓力、溫度)偏離造成的相對誤差可由公式(3)表示:
假如設計孔板流量計時是按照1MPa和285℃所對應的過熱水蒸氣密度ρ=4.374kg/m³設計的,則密度的變化造成的測量誤差可能很大,當壓力大且溫度低時,測量值偏大;當壓力低且溫度高時,測量值偏小。水蒸氣的實際狀態偏離孔板實際狀態越嚴重,所引起的誤差越大。要補償密度變化所引起的這種誤差,就不能將公式(1)中的ρ以設計工況下的密度來代入,需要將ρ看作壓力和溫度的函數,即ρ=f(P,t)。這也就是一般智能流量積算儀均要對過熱蒸汽進行壓力溫度補償的原因。
6.孔板內徑d和管徑D的誤差補償
測量水蒸氣流量時,如果設計工況為200℃,孔板內徑為d,則孔板內徑在實際工作狀態下的修正公式為:
實際上d和D偏離設計值造成的后果就是流量測量系統的滿度值發生了變化,如果將d和D的實際值測量出來,代人公式計算出與此實際值相對應的流量滿度值,然后用新的滿度值代替原設計值,置人流量顯示儀表,則系統運行后,尺寸誤差對測量系統的影響就能得到完全的校正,這也就是每臺流量計在投人使用前進行修正計算的主要工作。
上一篇:金屬管浮子流量計水平安裝數值仿真?
下一篇:超聲波流量計結構原理
相關新聞
- 2025-09-30液體流量計可以測量腐蝕性液體嗎?
- 2025-09-30孔板流量計的壓力損失大嗎?
- 2025-09-16液體流量計的精度受哪些因素影響?
- 2025-09-16液體流量計的測量范圍是多少?
- 2025-08-19大管道流量測量用插入式流量計還是管道式流量計?



